Home About us Products Order Contact us Site Map
Pigment Red 4
Pigment Red 254
Pilocarpine Nitrate
Pimelic Acid
Heptanedinitrile
Pinacol
(1R)-(+)-alpha-Pinene
(-)-beta-Pinene
(+/-)-2-Piperidinecarboxylic Acid
L-Pipecolic Acid
2-Methylpiperidine
3-Methylpiperidine
4-Methylpiperidine
Piperacillin Sodium Salt
Piperazine
PiperazineHexahydrate
Piperazine Adipate
Piperazine-1,4-bis(2-ethanesulfoni...
2-Piperazinecarboxylic Acid Dihydr...
1-Piperazinecarboxylic Acid Ethyl ...
1-(2-Hydroxyethyl)piperazine
1-Piperidineethanol
2-Piperidineethanol
4-Piperidineethanol
2-Piperidinemethanol
3-Piperidinemethanol
4-Piperidinemethanol
4-Piperidinopiperidine
alpha,alpha-Diphenyl-4-piperidinem...
Piperine

 

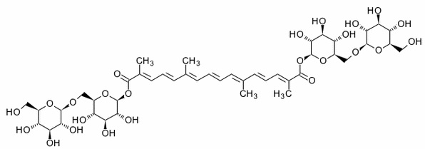
Crocin

  Chemical Name   Crocin
  Molecular Formula   C44H64O24

  Molecular Weight

  976.96

  CAS NO:

  42553-65-1

  Molecular Structure


     
Copyright(C)2008, frapp's pharma(hong kong) co.,limited All Rights Reserved.