Home About us Products Order Contact us Site Map
Methyl Hexanoate
2-Chlorobenzoic Acid Methyl Ester
1-Hexanol
2-Chlorobenzonitrile
3-Chlorobenzonitrile
gamma-Hexanolactone
4-Chlorobenzonitrile
delta-Hexanolactone
2-Chlorobenzophenone
2-Hexanone
Hexanoyl Chloride
4-Chlorobenzophenone
2-(p-Chlorobenzoyl)benzoic Acid
5-Chloro-2-benzothiazolinone
5-Chlorobenzotriazole
1-Chloroanthraquinone
2-Chloroanthraquinone
trans-2-Hexenal
1-Hexene[Standard Material]
2-Chlorobenzaldehyde
3-Chlorobenzaldehyde
4-Chlorobenzaldehyde
2-Chlorobenzamide
3,4-Dichlorobenzyl Chloride
3-Chlorobenzamide
trans-2-Hexenoic Acid
1-Hexen-3-ol
4-Chlorobenzamide
trans-2-Hexen-1-ol
Chlorobenzene

 

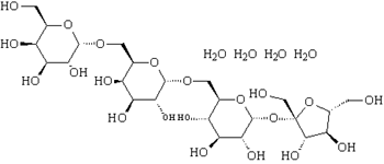
StachyoseTetrahydrate

  Chemical Name   StachyoseTetrahydrate
  Molecular Formula   C24H42O21·4H2O

  Molecular Weight

  738.64

  CAS NO:

  10094-58-3

  Molecular Structure


     
Copyright(C)2008, frapp's pharma(hong kong) co.,limited All Rights Reserved.